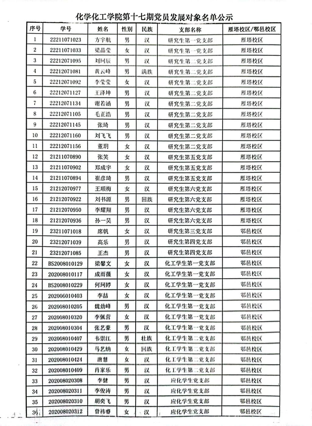
根据《中国共产党章程》和《中国共产党发展党员工作细则》规定,参照世界杯官方网站入口2026入党积极分子及党员发展对象遴选条件,在各党支部综合评议、听取党员和群众意见、班团推荐,辅导员审查,根据发展党员工作有关要求,现予以公示。
公示期:3天。公示期内,广大师生可就其在理想信念、政治立场、思想作风、工作表现、群众观念、廉洁自律等方面的情况和问题进行反映。反映应实事求是、客观公正,以个人名义反映问题的,要以书面形式签署本人真实姓名。公司将对反映人和反映问题严格保密,对反映问题进行调查核实,弄清事实真相,并以适当方式向反映人反馈。
监督电话:029-81469205(鄠邑校区) 029-88382693(雁塔校区)
监督邮箱:cwli@xsyu.edu.cn
联系地址:世界杯官方网站入口2026员工工作办公室

